The Significance of Oligo-Recurrence after Esophagectomy for Esophageal Cancer.
Woojung Kim, M.D., Chang Hyun Kang, M.D., PhD*, Kwon Joong Na, M.D., Samina Park, M.D., PhD, Hyun Joo Lee, M.D., PhD, In Kyu Park, M.D., PhD, Young Tae Kim, M.D., PhD.
Department of Thoracic and Cardiovascular Surgery, Seoul National University Hospital, Seoul, Republic of Korea
Purpose : This study aimed to identify the prognostic significance of the number of the recurrences in esophageal cancer after esophagectomy.
Methods : The inclusion criteria were the patients 1) with squamous cell carcinoma, 2) who underwent curative esophagectomy, 3) with R0-1 resection, 4) with confirmed recurrence by imaging study. From March 2001 to December 2019, 321 eligible patients were included. The correlation between the post-recurrence survival and the number of recurrences was evaluated.
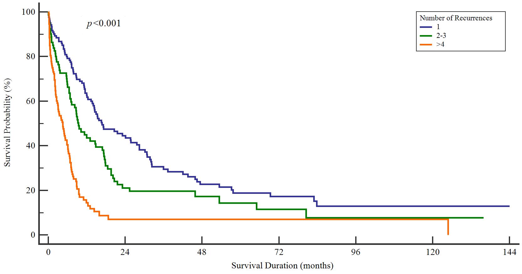
Results : The mean age of the patients was 63.8±8.1 years and most of them were male patients (n=313, 97.5%). The median time to recurrence was 10.7months and the median survival time after recurrence was 7.3months. Local recurrences were identified in 46patients (14.3%) and regional recurrences in 211patients (65.7%), however, multiple recurrences with concurrent local, regional and distant locations were common (n=120, 37.4%). In terms of the number of recurrence, single recurrence was the most common (n=123, 38.3%) with highest survival (median 16.7months, p<0.001). Double and triple recurrences showed similar survival and higher survival than the recurrences with four or more (n=82, median 9.4months, p<0.001). The survival rate among the patients with four or more recurrences didn’t show any difference (Figure 1). In multivariate analysis, number of recurrences, lymph node involvement and adjuvant therapy were the significant factors of post-recurrence survival (p<0.05).
Conclusion : The number of recurrences was the significant risk factor for the post-recurrence survival in the patients with esophageal cancer after esophagectomy. Oligo-recurrence with favorable prognosis can be defined as a recurrence when the number of metastases is three or less.

책임저자: Chang Hyun Kang
Department of Thoracic and Cardiovascular Surgery, Seoul National University Hospital, Seoul, Republic of Korea
발표자: Woojung Kim, E-mail : cosmoscore22@gmail.com