Comparative analysis of structural valve deterioration after bovine pericardial versus porcine bioprosthetic mitral valve replacement
Woojung Kim, MD, Ho Young Hwang, MD, PhD, Yoonjin Kang, MD, Ji Seong Kim, MD, PhD, Suk Ho Sohn, MD, Jae Woong Choi, MD, PhD, Kyung Hwan Kim, MD, PhD, Ki-Bong Kim, MD, PhD.
Department of Thoracic and Cardiovascular Surgery, Seoul National University Hospital, Seoul, Republic of Korea
Purpose : This study was conducted to compare long-term results including the durability after bovine pericardial and porcine bioprosthetic mitral valve replacement (MVR).
Methods : Three hundred nine patients who underwent MVR with Carpentier-Edwards PERIMOUNT bovine pericardial valves (BMVR group, n = 241) or Hancock II porcine bioprosthesis (PMVR group, n = 68) were enrolled. Mean age at the operation was 65.8 ± 11.5 years and 213 (68.9%) were female patients. The mean clinical and echocardiographic follow-up durations were 81.4 ± 60.0 and 57.8 ± 53.3 months, respectively. Structural valve deterioration (SVD) was defined as prosthetic mitral valve regurgitation or stenosis of greater than moderate degree combined with a motion limitation, tear or perforation of prosthetic valve leaflet on follow-up echocardiography. Propensity score-adjusted multivariable analyses were performed.
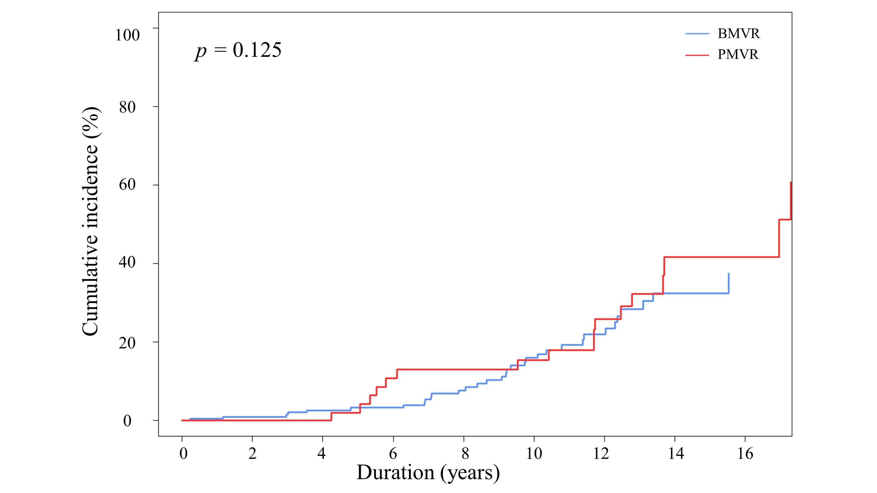
Results : Thirty-day mortality rate was 6.4% (20 out of 309 patients). The SVD occurred in 50 patients (33 and 17 patients in the BMVR and PMVR groups, respectively). Five-, 10- and 15-year freedom rates from SVD were 95.2%, 69.4% and 24.6%, respectively, in the BMVR group and 95.7%, 72.1% and 27.6%, respectively, in the PMVR group. Cumulative incidences of SVD in the BMVR and PMVR groups were not different in competing risk analysis (p = 0.125). Other clinical outcomes including overall survival and freedom rates from cardiac death and MVRE were not statistically different between the 2 groups in propensity score-adjusted multivariable analyses.
Conclusion : The long-term clinical outcomes including SVD were not different between the BMVR and PMVR groups during 15 year-follow up after MVR.

책임저자: Ho Young Hwang
Department of Thoracic and Cardiovascular Surgery, Seoul National University Hospital, Seoul, Republic of Korea
발표자: Woojung Kim, E-mail : cosmoscore22@gmail.com